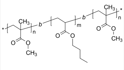
PMMA-PnBuA-PMMA 聚甲基丙烯酸甲酯-聚丙烯酸正丁酯-聚甲基丙烯酸甲酯 ABA三嵌段共聚物
PMMA-PnBuA-PMMA 聚甲基亚克力酯酯甲酯-聚亚克力酯酯正丁酯-聚甲基亚克力酯酯甲酯 ABA三嵌段共聚物 2英文称呼:聚甲基亚克力甲酯-聚亚克力正丁酯-聚甲基亚克力甲酯英文字母缩写:PMMA-PnBuA-PMMA英文音标全名:Poly(methyl methacrylate)-b-Poly(n-butyl acrylate)-b-Poly(methyl methacrylate)英文字母别号:Poly(methyl methacrylate-block-butadiene-block-methyl methacrylate)CAS号:n/a; PMMA: 9011-14-7; PnBuA: 9003-49-0化学结构式式:(C5H8O2)n (C7H12O2)m (C5H8O2)n主链空间结构:ABA三嵌段共聚物首要化学物质:PMMA亲疏水溶性:疏水护肤类目型:正常抓团伙荧光/闪光:无外装/社会形态:固态硬盘安装粉丝或粒子(以具体情况外装为标准)纯净度:≤ 100%组成式:



pg电子娱乐游戏app
微信公众号
官方微信