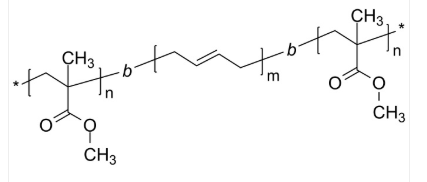
PMMA-PBd-PMMA 聚甲基丙烯酸甲酯-聚丁二烯-聚甲基丙烯酸甲酯 ABA三嵌段共聚物
PMMA-PBd-PMMA 聚甲基亚克力 甲酯-聚丁二烯-聚甲基亚克力 甲酯 ABA三嵌段共聚物 中文版英文名称:聚甲基水性聚氨酯甲酯-聚丁二烯-聚甲基水性聚氨酯甲酯因为简称英文:PMMA-PBd-PMMA英语全程:Poly(methyl methacrylate)-b-Poly(1,4-butadiene)-b-Poly(methyl methacrylate)英文版别称:Poly(methyl methacrylate-block-butadiene-block-methyl methacrylate)CAS号:n/a; PMMA: 9011-14-7; PBd: 9003-17-2原子式:(C5H8O2)n (C4H6)m (C5H8O2)m主链型式:ABA三嵌段共聚物重要部分:PMMA亲疏水性聚氨酯:疏水产品的型号:常用涨氧分子荧光/发光字:无外观设计设计/社会形态:固定纳米银溶液或颗料(以具体外观设计设计时以)饱和度:≤ 100%框架式:



pg电子娱乐游戏app
微信公众号
官方微信