PAMPSNa 聚(2-丙烯酰胺基-2-甲基丙磺酸钠) 亲水高分子均聚物盐 Poly(2-acrylamido-2-methylpropanesulfonic acid sodium salt)
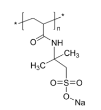
PAMPSNa 聚(2-丙烯酰胺基-2-甲基丙磺酸钠) 亲水100碳原子均聚物盐 Poly(2-acrylamido-2-methylpropanesulfonic acid sodium salt)英文姓字种类:聚(2-丙烯酰胺基-2-甲基丙磺酸钠)国外英文俗称:PAMPSNa英文音标英文名称:Poly(2-acrylamido-2-methylpropanesulfonic acid sodium salt)英文字母俗称:Poly(2-acrylamido-2-methyl-1-propanesulfonic acid sodium salt); Poly(sodium 2-acrylamido-2-methyl-propanesulfonate)CAS号:n/a; PAMPS: 27119-07-9氧分子结构:(C7H12NaNO4S)n主链构造:直链均聚物主要的化学成分:PAMPS亲疏水:亲水服务类:聚合反应物盐荧光/闪光:无外觀/底部形态:固态硬盘粉丝或颗料(以现实情况外觀应写)含量:≤ 100%的化学式:



pg电子娱乐游戏app
微信公众号
官方微信