PAMPS 聚(2-丙烯酰胺-2-甲基丙磺酸) 亲水高分子均聚物 Poly(2-acrylamido-2-methylpropane sulfonic acid)
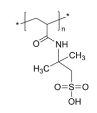
PAMPS 聚(2-丙烯酰胺-2-甲基丙磺酸) 亲水100大分子均聚物 Poly(2-acrylamido-2-methylpropane sulfonic acid)常常名称大全:聚(2-丙烯酰胺-2-甲基-1-丙磺酸)英文怎么说代称:PAMPS国外英文英文名称:Poly(2-acrylamido-2-methylpropane sulfonic acid)日文俗名:Poly(2-acrylamido-2-methyl-1-propanesulfonic acid)CAS号:27119-07-9团伙式:(C7H13NO4S)n主链组成部分:直链均聚物其主要因素:PAMPS亲疏水性树脂:亲水产品的种类:平时抓原子核荧光/发光字:无外观专利专利/结构:固态硬盘粉丝或颗料(以现实外观专利专利来算)纯净度:≤ 100%结构特征式:



pg电子娱乐游戏app
微信公众号
官方微信