PLGA-PEG-PLGA-FKG456 聚乙丙交酯-聚乙二醇-聚乙丙交酯-荧光FKG456 荧光标记生物降解ABA三嵌段共聚物
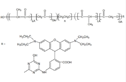
PLGA-PEG-PLGA-FKG456 聚乙丙交酯-聚乙二醇-聚乙丙交酯-荧光FKG456 荧光标出微生物挥发ABA三嵌段共聚物 汉语品牌:聚乙丙交酯-聚乙二醇-聚乙丙交酯-荧光FKG456国外英文缩写:PLGA-PEG-PLGA-FKG456日语总称:Poly(lactide-co-glycolide)-b-Poly(ethylene glycol)-b-Poly(lactide-co-glycolide)-FKG456CAS号:n/a; PEG: 25322-68-3; PLGA: 26780-50-7氧分子结构:[(C3H4O2)x(C2H2O2)y]m[C2H4O]n[(C3H4O2)x(C2H2O2)y]m主链结构的:ABA三嵌段共聚物最主要组成成分:PLGA亲疏水性聚氨酯:两亲性产品的方式:荧光标注好的成绩子荧光/会亮:FKG456外觀/行态:固态硬盘安装纳米银溶液或小粒(以现场外觀为标准)构造式:



pg电子娱乐游戏app
微信公众号
官方微信