mPEG-PLGA-FKG456 聚乙二醇-聚乙丙交酯-荧光FKG456 荧光标记生物降解二嵌段共聚物
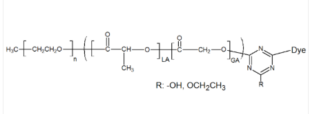
mPEG-PLGA-FKG456 聚乙二醇-聚乙丙交酯-荧光FKG456 荧光标上菌物光降解二嵌段共聚物 简体中文名字称大全:聚乙二醇-聚乙丙交酯-荧光FKG456日文缩略词:mPEG-PLGA-FKG456日语它的全称:Methoxy-Poly(ethylene glycol)-b-Poly(lactide-co-glycolide)-FKG456CAS号:n/a; PEG: 25322-68-3; PLGA: 26780-50-7主链架构:二嵌段共聚物关键含量:PLGA亲疏水性树脂:两亲性新产不断研发创新型:荧光记号低分子式荧光/变色:FKG456外装/底部形态:固体粉尘或科粒(以实践外装来算)结构的式:



pg电子娱乐游戏app
微信公众号
官方微信