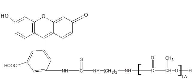
PDLLA-FITC 聚DL乳酸-荧光素 荧光标记生物降解高分子 Poly(D,L-lactide)-Fluorescein
PDLLA-FITC 聚DL乳酸-荧光素 荧光符号生物制品化学降解涨分子式 Poly(D,L-lactide)-Fluorescein 中文名字字名号:聚DL乳酸-荧光素日语统称:PDLLA-FITC英文字母全程:Poly(D,L-lactide)-FluoresceinCAS号:n/a; Poly(L-lactide): 26161-42-2; Poly(D-lactide): 106989-11-1主链成分:直链均聚物大部分组成成分:PLA亲疏水溶性:疏水食产品线型:荧光标志夺大分子荧光/变色:FITC的外貌/特征:固定粉丝或颗粒状(以实践的外貌时以)结构类型式:



pg电子娱乐游戏app
微信公众号
官方微信