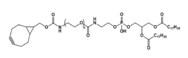
BCN-PEG-DSPE 环丙烷环辛炔-聚乙二醇-磷脂 BCN-PEG-磷脂的储存条件
双环[6,1,0]壬炔 (BCN) (环丙烷环辛炔)可能确认无铜的点选物理化学与叠氮化物标志的原子或海洋生物原子反映形成安全的三氮唑相连接
产品名称 BCN-PEG-DSPE 环丙烷环辛炔聚乙二醇磷脂
中文名称 环丙烷环辛炔聚乙二醇磷脂
英文名称 BCN-PEG-DSPE
分子量 1000
CAS N/A
溶解度 DMSO,CHCl3,甲醇
存储条件 -20°冷冻
保存时间 一年
其它分子量 2000 3400 5000 10000



pg电子娱乐游戏app
微信公众号
官方微信