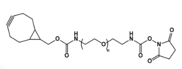
BCN-PEG-NHS 环丙烷环辛炔聚乙二醇活性酯 点击化学功能化PEG活性酯
双环[6,1,0]壬炔 (BCN) (环丙烷环辛炔)都可以顺利通过无铜的点物理与叠氮化物标记图片的氧分子结构或动物氧分子结构反馈生成二维码稳定性的三氮唑接连。
产品名称 BCN-PEG-NHS 环丙烷环辛炔聚乙二醇活性酯
中文名称 环丙烷环辛炔聚乙二醇活性酯
英文名称 BCN-PEG-NHS
分子量 1000
CAS N/A
溶解度 DMSO,CHCl3,甲醇
存储条件 -20°冷冻
保存时间 一年
其它分子量 2000 3400 5000 10000



pg电子娱乐游戏app
微信公众号
官方微信