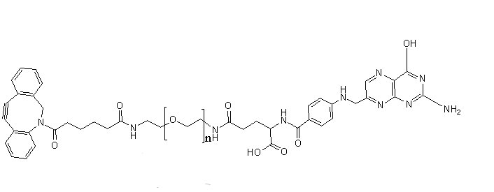
Dibenzocyclooctyne-聚乙二醇-叶酸 (DBCO-PEG-FA)|DBCO-PEG-Folic acid|产品结构式
描术:点击量化学工业——二苯并环辛炔 (DBCO, Dibenzocyclooctyne) 用到不可铜阳离子离子液体的叠氮-炔环加的 (SPAAC) 发生反馈,该发生反馈的二次发生反馈驱动运动学常数会达到,DBCO全系列新产品涉及到都可以到进一点连入的 DBCO-acid、DBCO-amine、DBCO-PEG-COOH、DBCO-PEG-amine,各类DBCO标示的 biotin、荧光纺织染料和什么是生化小分子结构等。中文字幕简称:Dibenzocyclooctyne-聚乙二醇-DHA (DBCO-PEG-FA)俗称:DBCO-PEG-FA英文翻译称呼:DBCO-PEG-FA,DBCO-PEG-Folic acidCAS:-原子量:400、600、1K、2K、3.4K、4K、5K、10K纯净度:90%之内结构的式:

食品优点和缺点及枝术优越性:1.PEG大分子量能选:350 550 750 1000 2000 3400 5000 100002、产生工艺设备简略,其它杂物低,的质量相对稳定3、批处理生产加工,价格可控性4、可可以提供800四种产品设备规模5、其余特异标准可打造全屋定制相应车辆:DBCO-PEG-NHS 二苯基环辛炔聚乙二醇亲水性酯DBCO-PEG-Pentafluorophenyl 二苯并环辛炔-聚乙二醇-五氟苯酚DBCO-PEG-Benzaldehyde 二苯并环辛炔-聚乙二醇-苯甲醛危害DBCO-PEG-linoleic acid 二苯并环辛炔-聚乙二醇-亚油酸DBCO-PEG-Mesylate 二苯并环辛炔-聚乙二醇-甲磺酸酯DBCO-PEG-TPP 二苯并环辛炔-聚乙二醇-磷酸三苯酯DBCO-PEG-Dopamine 二苯并环辛炔-聚乙二醇-多巴胺DBCO-PEG-Ferrocene 二苯并环辛炔-聚乙二醇-二茂铁DBCO-PEG-glycyrrhetinic acid 二苯并环辛炔-聚乙二醇-甘草次酸DBCO-PEG-Cyclodextrin 二苯并环辛炔-聚乙二醇-环糊精DBCO-PEG-Choline Glycerophosphate 二苯并环辛炔-聚乙二醇-甘磷酸胆碱DBCO-PEG-SPDP 二苯并环辛炔-聚乙二醇-3-(2-吡啶二硫代)丙酸N-羟基虎珀酰亚胺酯DBCO-PEG-DOTA 二苯并环辛炔-聚乙二醇-四氮杂环第十二烷四乙酸生产基地:昆明饱和度:99%妙用:仅用作科研管理浪漫表示:仅应用在成果转化,可以应用在我们身体科学试验!