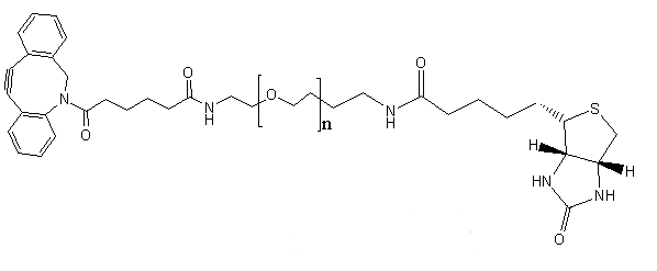
二苯基环辛炔聚乙二醇动物素,DBCO-PEG-Biotin,Dibenzocyclooctyne-PEG-Biotin
描诉:双击电学——二苯并环辛炔 (DBCO, Dibenzocyclooctyne) 广泛用于不可铜铝离子催化现象的叠氮-炔环加持 (SPAAC) 现象,该现象的2级现象趋势学常数能够达到到,DBCO类型好产品主要包括可广泛用于进步对接的 DBCO-acid、DBCO-amine、DBCO-PEG-COOH、DBCO-PEG-amine,及其DBCO记号的 biotin、荧光活性染料和生物化学小氧分子等。
英文版名:二苯基环辛炔聚乙二醇怪物素
国外英文名称:DBCO-PEG-Biotin,Dibenzocyclooctyne-PEG-Biotin
物料形容:
较常用容剂:不能溶解常規水盐溶液各类大部份数有机化学容剂
比较稳定量分析:在4℃下列常温、背光,吹干15个月。
原子核量(PEG ):2000、3400、5000,另外的原子核量可不可以全屋定制。
存放要求:<4℃低温制冷的效果干燥的保持,能够在惰性废气下外理用料以得到增强性。

祥和显示:为了让可以获得成品动用结果,用料应要自始至终在干澡因素下确保安全温度过低,避开三天两头快速解冻和银行卡冻结。为确保安全成品的可靠性,请主要在温控干澡以来才会开放礼品盒提取!
溫馨信息提示:仅使用于科研项目!!!
想关的产品:
DBCO-PEG-Bodipy 二苯并环辛炔-聚乙二醇-氟化硼二吡咯
DBCO-PEG-IR825 二苯并环辛炔-聚乙二醇-IR825荧光颜料
DBCO-PEG-HMME 二苯并环辛炔-聚乙二醇-血卟啉单甲醚
DBCO-PEG-Ce6 二苯并环辛炔-聚乙二醇-二氢卟吩
DBCO-PEG-DSPE 二苯并环辛炔-聚乙二醇-二硬脂酰基磷脂酰酒精胺
DBCO-PEG-DPPE 二苯并环辛炔-聚乙二醇-二棕榈酰基磷脂酰乙酸乙酯胺


pg电子娱乐游戏app
微信公众号
官方微信