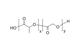
PLGA食材就是种使用的奈米药品各种载体,用整合物小粒(poly(lactic-co-glycolic acid) (PLGA))去食用的药物包封是常用的做发,
PLGA 是聚乳酸 (PLA) 和聚工业乙醇酸 (PGA) 的共聚物,其可创造使用口服药物递送和公司公程应用的试验装置。
常常称谓:聚乳酸-羟基乙酸共聚物
用英文怎么说品牌:PLGA
分子结构量:10000-20000
原子式:C5H8O5
CAS号:34346-01-5

成品性能:
海洋生物混溶性好,肚子里可彻底分解吸纳。原材料分解时间间隔控制,可按照服务应该参与设计构思。原子式量控制,原子式量分布范围<1.5。
的产品评价指标:
耐腐蚀原子核式: (C6H8O4)n(C4H4O4)m
粘均分子结构量:1-40万;性能特点粘度指数:0.2-2.5dL/g;
企业产品颜色:无定型剂整合物,紫色或呈黄色小粒
郑州pg电子娱乐游戏app 生物工程科技信息有现我司给予相关产品的PLGA奈米载药塑料再生颗粒 ,紫杉醇PL GA纳米技术粒媒体; PEG化载miRNA-LUC脂质体; miRNA-LUCloaded PEGylated Liposome ;蛋清多糖原类PL GA奈米载药颗粒状个性定制;雷帕霉素PLGAnm载药粒子;左旋咪唑PLGA纳米技术粒各种载体等车辆.
服务:载药PLGA納米粒
色度:98%
木箱:mg级和g级(玻璃瓶)
储存:抽真空 ,4℃洗衣机冷藏箱阴凉手机截图
**期:6个月大
地止:陕西
生产商:石家庄pg电子娱乐游戏app 生态学信息技术十分有限我司
相应產品:
甲氨蝶呤修饰PEG-PLGA纳米粒 MTX-PLGA
载紫杉醇PTX的PLGA微米粒 PTX-PLGA
PLGA微米粒包载阿霉素 DOX-PLGA
PLGA微米粒包载阿霉素顺铂 CDDP-PLGA
PLGA微米粒装饰喜树碱CPT CPT-PLGA
PLGA微米粒电流环丙沙星 Ciprofloxacin-PLGA
甲硝唑呈现PLGA纳米技术粒 Metronidazole-PLGA
雷替曲塞-PLGA微米粒 Raltitrexed-PLGA
包载培美曲塞的PLGA微米粒 Pemetrexed-PLGA
PLGA奈米粒负债磺胺地索辛 sulfadimethoxine-PLGA
包载茴香酰胺的PLGA納米粒 anisamide-PLGA
PLGA纳米级粒电动机扭矩金刚烷 Ad-PLGA
PLGAnm粒偶联阿奇霉素 Azithromycin-PLGA
甲氨蝶呤遮盖PEG-PCL纳米级粒 MTX-PCL
载紫杉醇PTX的PCL奈米粒 PTX-PCL
PCL纳米技术粒包载阿霉素 DOX-PCL
PCL微米粒包载阿霉素顺铂 CDDP-PCL
PCL納米粒呈现喜树碱CPT CPT-PCL
PCL奈米粒额定负载环丙沙星 Ciprofloxacin-PCL
甲硝唑体现PCL奈米粒 Metronidazole-PCL

生产商:武汉pg电子娱乐游戏app 生态学社会是有限的我司
不低于数据位于今天axc,2022.08.12
和谐温馨提示模板信息:左右这篇文章谈到的的产品仅于成果转化,不可以于身体


pg电子娱乐游戏app
微信公众号
官方微信