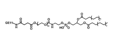
GE11-PEG-DSPE PEG-DSPE-GE11 DSPE-GE11-PEG 细胞表皮生长因子肽GE11-聚乙二醇-磷脂 产品的描述以及分子量
描述:二硬脂酰基磷脂酰乙醇胺. 英文通用名. Distearoyl Phosphoethanolamine. CAS. 1069-79-0. 分子量. 748.1. 分子式. C41H82NO8P.
聚乙二醇是一种高分子聚合物,化学式是HO(CH2CH2O)nH ,由环氧乙烷与水或乙二醇逐步加成聚合而成。无刺激性,味微苦,具有良好的水溶性。
软件名称大全 GE11-PEG-DSPE,細胞表层种植细胞因子肽GE11-聚乙二醇-磷脂
中文名称 细胞表皮生长因子肽GE11-聚乙二醇-磷脂
英文名称 GE11-PEG-DSPE
分子量 10000
CAS N/A
溶解度 有机溶剂等
其它分子量 1000、2000、3400、5000
存储条件 -20℃以下冰冻、干燥、避光。长期保存惰性(氩气或者氮气)保护。

兰州pg电子娱乐游戏app
生物体高新科技有现我司供给得分子式混物物DSPE-PEG、DPPE-PEG、DOPE-PEG、PLGA-PEG、PCL-PEG、PLA-PEG、DSPE、DOPE突显多肽受损细胞穿膜肽、自动靶点肽(新淋巴结管、淋巴结管)、**类多肽的。低原子原子量 2000、3000、5000、10000PEG分子式量:1000、2000、3000、5000新产品领域:参与者靶向肿瘤药物肿瘤药物递送体系(targeted drug delivery system,TDDS)搭配想关服务DSPE-PEG-NGR(GGCNGRC),毕业生淋巴管靶向治疗肽NGR-聚乙二醇-磷脂DSPE-PEG-R8,磷脂-聚乙二醇-靶向药物穿膜肽R8DSPE-PEG-KRWWKWWRRDSPE-PEG-RVG29DSPE-PEG-TH(AGYLLGHINLHHLAHL(Aib)HHIL)DSPE-PEG-Angiopep-2DSPE-PEG-T7(HAIYPRH)磷脂-聚乙二醇-靶向治疗穿膜肽TAT TAT-PEG-DSPE產地:深圳儲存时间段:一年保持:保温服务商:浙江pg电子娱乐游戏app
怪物社会有限制企业