磷脂(二硬脂酰基磷脂酰乙醇胺)-聚乙二醇-靶向穿膜肽TAT TAT-PEG-DSPE DSPE-PEG-TAT PEG-TAT-DSPE 的溶解度和分子量
DSPE-PEG-TAT靶向穿膜肽TAT -聚乙二醇-磷脂具有**的细胞穿透力且能直接作用于细胞核。TYR-GLY-ARG-LYS-LYS-ARG-ARG-GLN-ARG-ARG-ARG
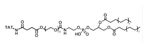
产品名称 磷脂-聚乙二醇-靶向穿膜肽TAT DSPE-PEG-TAT
中文名称 磷脂-聚乙二醇-靶向穿膜肽
英文名称 DSPE-PEG-TAT
分子量 1000,现货
CAS N/A
溶解度 有机溶剂等
存储条件 -20℃以下冰冻、干燥、避光。长期保存惰性(氩气或者氮气)保护。
保存时间 一年
其它分子量 600 2000、3400、5000、10000

咸阳pg电子娱乐游戏app
生物学科技创新有现集团提高好的成绩子配位合成树脂DSPE-PEG、DPPE-PEG、DOPE-PEG、PLGA-PEG、PCL-PEG、PLA-PEG、DSPE、DOPE掩盖多肽上皮细胞穿膜肽、主动权靶向疗法肽(再生毛细血管、腮腺管)、**类多肽之类。抓氧氧分子氧氧分子量 2000、3000、5000、10000PEG氧分子量:1000、2000、3000、5000的产品适用范围:积极参与靶点抗癫痫药物递送装置(targeted drug delivery system,TDDS)建设关于物料DSPE-PEG-NGR(GGCNGRC),级新生动脉血管靶向疗法肽NGR-聚乙二醇-磷脂DSPE-PEG-R8,磷脂-聚乙二醇-靶向治疗穿膜肽R8DSPE-PEG-KRWWKWWRRDSPE-PEG-RVG29DSPE-PEG-TH(AGYLLGHINLHHLAHL(Aib)HHIL)DSPE-PEG-Angiopep-2DSPE-PEG-T7(HAIYPRH)磷脂-聚乙二醇-靶向治疗穿膜肽TAT TAT-PEG-DSPE產地:西安市存放时长:半年存有:冷库制造厂:杭州pg电子娱乐游戏app
菌物自动化限制我司