谷氨酸偶联PNA肽核酸|Glu-PNA|Ac-Glu-PNA|谷氨酸-PNA|PNA-谷氨酸|pg电子娱乐游戏app
生物供应氨基酸修饰肽核酸
谷氨酸偶联PNA肽核酸|Glu-PNA|Ac-Glu-PNA|谷氨酸-PNA|PNA-谷氨酸|pg电子娱乐游戏app
生物工程提供碳水化合物呈现肽核酸
设备称谓:谷氨酸偶联PNA肽核酸Glu-PNAAc-Glu-PNA谷氨酸-PNAPNA-谷氨酸含量:98%纸盒包装:mg级和g级新地址:山东服務性:肽核酸PNA设计服務性溶解出来度:可易溶DMF、DMSO等状况:固态/金属粉/水溶液保存图片:保鲜冷库妙用:教学科研产品:山东pg电子娱乐游戏app
动物新材料技术十分有限品牌杭州pg电子娱乐游戏app
微生物供货酪氨酸Tyr,亮氨酸Leu,缬氨酸Val,丙氨酸Ala,精氨酸Arg,赖氨酸Lys,天冬氨酸Asp,异亮氨酸Ile,丝氨酸Ser,苏氨酸Thr,谷氨酸Glu,甲硫氨酸 Met,苯丙氨酸 Phe,脯氨酸Pro,组氨酸His偶联突显肽核酸PNA这些档案资料存在厂家axc,2022.07.20贴心显示:以上内容本文中看到的类产品仅使用在科学,未能使用在人的身体
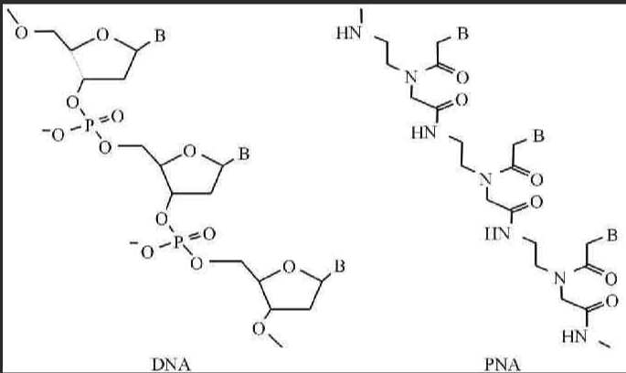
肽核酸(PeptideNucleicAcid,PNA)有的是类种似于DNA或RNA的混物物。与多肽类试,多种多样嘌呤和嘧啶碱基进行亚甲基羰基相连接到主链骨墙上。主要是因为PNA不加负电荷量,与DNA和RNA区间内找不到的静电能斥力,为此整合的固定量分析和特异形都非常不断提高。不适合被DNA酶和核蛋白酶淀粉水解,PNA在内与身体之外较维持。
PNA的一般应用
字段特喜欢的人的PCR(PNA夹)
端粒、着丝粒FISH电极,人类基因非特异朋友电极,感然经过多次实验发现
反义/抗微菌物生化试剂
miRNA
双链DNA进入和捕捉到
微阵列检测器

pg电子娱乐游戏app 生物制品供应商有机酸掩盖肽核酸物料子目录:
| 赖氨酸偶联肽核酸PNA | Lys-PNA | Su-cLys-PNA |
| 天冬氨酸修饰PNA肽核酸 | Asp-PNA | Ac-Asp-PNA |
| 异亮氨酸修饰肽核酸 | Ile-PNA | Bz-Ile-PNA |
| 丝氨酸改性多肽核酸PNA | Ser-PNA | Ac-Ser-PNA |
| 苏氨酸修饰肽核酸PNA | Thr-PNA | Bz-Thr-PNA |
| 谷氨酸偶联PNA肽核酸 | Glu-PNA | Ac-Glu-PNA |
| 甲硫氨酸修饰肽核酸 | Met-PNA | Bz-Met-PNA |


pg电子娱乐游戏app
微信公众号
官方微信