cas:号:2447642-40-0
英语翻译名稱:Y6-EH-4Cl
英文音标同义词:Y6-4Cl;Y6-EH-4Cl;Y7/BTP-4Cl;Y6-EH-4Cl,Y
2英文名号:Y6-EH-4Cl
中文名字同义词:Y6-4CLCBNumber:CB08066303
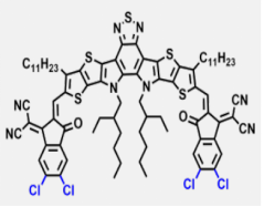
原子式:C82H86Cl4N8O2S5
Product No: LT-S9491
Product Name: Y7, BTP-4Cl

Product No: LT-S9491
Product Name: Y7, BTP-4Cl
Chemical Name: 2,2’-((2Z,2’Z)-((12,13-Bis(2-ethylhexyl)-3,9-diundecyl-
12,13-dihydro-[1,2,5]thiadiazolo[3,4-e]thieno-[2”,3’’:4’,5’]-thieno[2’,3’:4,5]pyrrolo[3,2-g]thieno-[2’,3’:4,5]thieno[3,2-b]-indole-2,10-diyl)bis(methanylylidene))-bis(5,6-dichloro-3-oxo-2,3-dihydro-1H-indene-2,1-diylidene))dimalononitrile
CAS No: 2447642-40-0
Grade: > 99% (NMR)
Formula: C82H86Cl4N8O2S5
M.W 1517.75 g/mole
UV: 746,839nm(in CHCl3)
HOMO: -5.68 eV
LUMO: -4.14 eV
Availability: In Stock
Specification: PCE : 16.5%(with PM6)
Reference: Commun 10,2515, 2019
武汉pg电子娱乐游戏app 动物网络有现公司的是集物理科研课题和私人订制与一身的高网络物理公司的。服务比率包涵物理实验免疫采血管和软件的新产品设备设备科研、制造、销售人员等。针对的目标软件为互通实验免疫采血管的渠道分销、非互通实验免疫采血管的私人订制与新产品设备设备科研,归属于动物网络、细致物理品、上面体和化工新装修板材装修板材等研究方向。营业项目软件:光电板材实验免疫采血管、光致变黄变黑实验免疫采血管、上面体、电变黄变黑装修板材、含螺吡喃类光致变黄变黑装修板材、力致变黄变黑、高分子稀土金属协调物、有机酸光火箭发射元件(OLED),无机光伏发电(OPV),无机pe膜结晶体管(OTFT) ,设计频射甄别(ORFID),有机酸微电子导体(OPC)和有机的阴离子传递膜(OIEM),供应信息好几种OLED原料,正原料药原料,OPV的材料等。
OPV 给体素材
PTzBI-Cl
PFBT4T-C5Si-25% (Si25)
NTOD
FBT-Th4
OPV 蛋白激酶涂料
cas2304444-49-1 Y6
cas2447642-40-0 Y6-4Cl
Y6-2Br
Y6-C10C12
Y6-C10C12-4Cl
Y6-C10C12-2Br
Y6-C10C12-4FNa
cas2389125-23-7 Y6-BO
Y6-BO-2Br
cas2414918-25-3 Y7-BO
N3
N3-4Cl
Y14
N3-2Br
L8-BO
LC-333
cas1100243-40-0 N2200
cas1797409-92-7 DPPEZnP-THE
饱和度:99%
生产地:北京
应用领域:仅在科研项目(zyl2022.04.25)


pg电子娱乐游戏app
微信公众号
官方微信