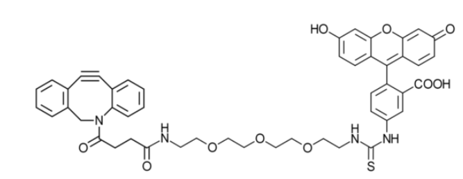
DBCO-PEG3-FITC的分子式:C48H44N4O10S ,分子量:868.95
DBCO-PEG3-FITC化学式式:C48H44N4O10S原子核量:868.95饱和度:>95%
保存:冷藏
储藏条件:-20℃
储存时间:1年
用途:科研
状态:固体/粉末/溶液
产地:西安
厂家:西安pg电子娱乐游戏app
生物科技有限公司
温馨提醒:仅供科研,不能用于人体实验

这些物料仅应用在科研管理,不是应用在身体测试(ysl2022.4.14)


pg电子娱乐游戏app
微信公众号
官方微信