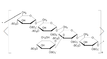
荧光素硫酸葡聚糖,FITC-dextran sulphate,硫酸葡聚糖是葡聚糖的聚阴离子衍生物,由葡聚糖和氯磺酸的酯化反应形成
食品详细介绍:
白或类白粉丝。氢氧化钾葡聚糖是葡聚糖的聚阴铁离子衍化物,由葡聚糖和氯磺酸的酯化不良反应建立。各举含硫量约为17%,非常于葡聚碳水子的所有常见葡萄品种糖残糖中一般含1.9个氢氧化钾基团。
领域:
·提升 核酸混种种率 - 悬浊液中含10%的氢氧化钾葡聚糖,DNA链的再热处理回火率约曾加10倍,此现像进而一个脚印放大了单链或双链的检测器与比较固定位置在膜上的DNA/RNA的混种种率。既是这样的,插入10%氢氧化钾葡聚糖或者会曾加js随机数激光切的双链DNA检测器与比较固定位置化核酸的混种种率,可以达到100倍。

功用:研发
壮态:粉状/碎末
产区:深圳
处理时长:半年
保留:要在冷藏室保存
储放先决条件:-20℃
购入注意事项:
1.观于有颜色
设备因有差异 设备的分子结构量有差异 ,设备特性和颜色等等就会有区别。
2.关干客户服务中心
如您的详询还没及早回,应该是当场详询过多亦或是体统故章。
我们都将展示 售后维修服务培训。
3.关羽提货
我们都的总部合作寄快递总部有顺丰速运、圆通速递、申通、韵达。
仅采用采用科学,不许采用人体肌肉检验(zyl 2022.04.14)


pg电子娱乐游戏app
微信公众号
官方微信