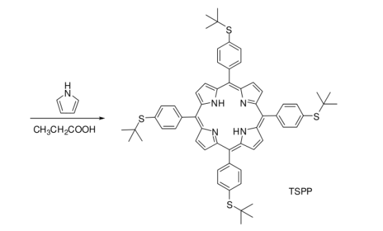
5,10,15-三对氯苯基-20-邻(α-氧基硬脂酸)苯基卟啉(TSPP)的聚合方案:
在装用恒压滴液漏斗的250 mL三颈瓶中,加盟4-硫叔丁基苯零甲醛无污染5.83 g (30mmol),丙酸100 mL,热处理加温。当开始了流失时,中滴加新蒸吡咯2.1 mL (30 mmol),约10min内加入适量完了。加入适量期间中,现象液由淡土黄色开始变深,后转变成一样。立即回到40秒钟,为止煮沸,冷凝至环境温度,参加少量出甲醇,微冻留宿,油烟净化器,受到粗物料,用甲醇洗洁多次,受到亮紫红色液态,计重1.4g,产出率21 %。

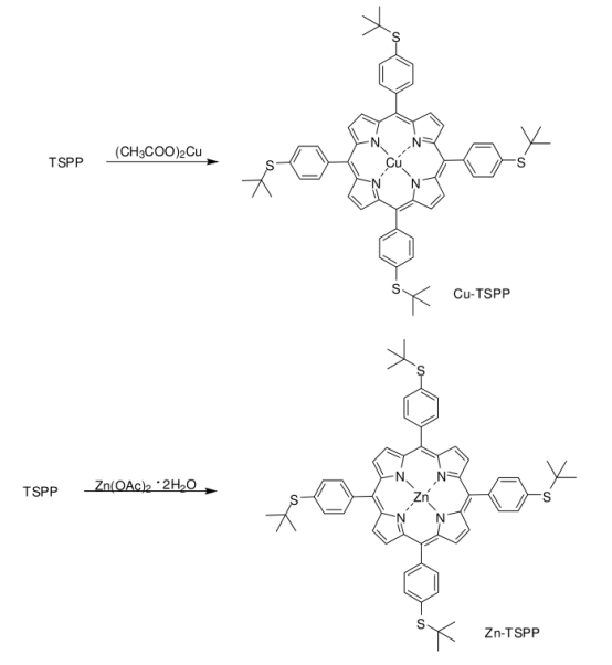
5,10,15-三对氯苯基-20-邻(α-氧基硬脂酸)苯基卟啉铜Cu-TSPP的聚合的办法:
将0.5 g (0.5 mmol) TSPP容解于氯仿中有,均匀搅拌使其宽裕溶解性;称取1 g(5mmol)醋酸钠铜混溶100 mL甲醇时,引入在之前的TSPP氯仿液体中,低温搅拌器使其积极影响,大至1 h后,TLC屏幕上显示获得某个导电性少于原材料的点,但原材料点尚存,减少体现时刻,主要原料点仍然具备,止住绞拌,将体现液转移500 mL分液漏斗中,机洗三次,巧妙层用无水氢氧化钾钠干涩,筛选,宣泄蒸干出大部位溶解出来,硅胶活性炭吸附,经柱层析(展开图剂为二氯二氧化氮:油气醚= 1 : 1)有青色物质,用少量甲醇洗衣,抽滤,得出干燥处理货物,秤量0.45g,产出率88 %。
5,10,15-三对氯苯基-20-邻(α-氧基硬脂酸)苯基卟啉锌Zn-TSPP 的聚合方法步骤:
将1 g(1 mmol) TSPP融解度于氯仿表里,搅拌机使其加以融解度;称取0.5 g (2mmol)乙酸锌混溶100 mL甲醇中用,入驻已经的TSPP氯仿氢氧化钠溶液中,干燥搅伴使其更加充分想法,至少1h后, TLC出现配料点不见了,取到两个旋光性大过配料的点关闭绞拌,将不良反应液转进500 mL分液漏斗中,干洗四遍,有机化学层用无水硫酸钠钠低温干燥的,滤出,缓解压力蒸干液体,存留物用少量的甲醇洗衣,抽滤,得见低温干燥的深紫色粉末状原材料,秤量0.97g,成品率94%。

武汉pg电子娱乐游戏app
生产商卟啉好产品子目录:5,15-二(3,4,5-三(三丙氧苯基)卟啉(BTPPP)[5,15-二乙炔基-10,20-二(3,4,5-三(十五烷氧基)苯基)卟啉]锌(DBTCPP-Zn)[5,15-二醛基10,20-二(3,4,5-三(十五烷氧基)苯基卟啉)]锌(AEBHPP)[5,15-二腈基10,20-二(3,4,5-三(16烷氧基)苯基卟啉)]锌(Por-CN)[5,15-二羧基10,20-二(3,4,5-三(16烷氧基)苯基卟啉)]锌(CEBHPP)聚((2-蒽醌)[5,15-二乙炔基-10,20-二(3,4,5-三-(第十六烷氧基)苯基)卟啉]锌(ADEBHPP)nα,α,α,β-四-[邻(叔丁氧羰丙氨酸)氨基苯基]卟啉H2T(o-BocAla)APPα,α,α,β-四-[邻(叔丁氧羰丙氨酸)氨基苯基]卟啉锌(Ⅱ)密切配合物ZnT(o-BocAla)APP(Zn-1)α,α,α,β-四-[邻(叔丁氧羰苏氨酸)氨基苯基]卟啉H2T(o-BocThr)APPα,α,α,β-四-[邻(叔丁氧羰苏氨酸)氨基苯基]卟啉锌(Ⅱ)协调一致物ZnT(o-BocTyr)APP(Zn-3)紫网红粉状5,15-二(4-乙炔基苯基)-10,20-二苯基卟啉(DETPP)橙网红粉末状5,15-二(4-乙炔基苯基)-10,20-二苯基钴卟啉(CoDETPP)橙橙红色粉状5,15-二(4-乙炔基苯基)-10,20-二苯基锌卟啉(ZnDETPP)5, 10, 15, 20-四苯基镁卟啉(MgTPP)5- (4-甲氧基苯基)-10, 15, 20-三苯基镁卟啉(MgTPPOCH3)5- (4-氨基苯基)-10, 15, 20-三苯基镁卟啉(MgTPPNH2)5- (4-硝基苯基)-10, 15, 20-三苯基镁卟啉(MgTPPNO2)5- (4-羧基苯基)-10, 15, 20-四苯基镁卟啉(MgTPPCOOH)2,3,7,8,12,13,17,18-八澳25,10,15,20-四(4-磺酸基苯基)卟啉(OBTPPS)meso-四(4-羟基-3-磺酸苯基)卟啉[统称T(4-HP)PS4]5-对-(间羰基苯甲酸)-氨基苯基-10,15,20-三苯基卟啉锌(Ⅱ)针对物(Zn(m-CPTPP))5-对-(间羰基苯甲酸)-氨基苯基-10,15,20-三苯基卟啉铜(Ⅱ)合作物(Cu(m-CPTPP))5-对-(对羰基苯甲酸)-氨基苯基-10,1 5,20-三苯基卟啉铜(Ⅱ)(Cu(p-CPTPP)5-对-(对羰基苯甲酸)-氨基苯基-10,1 5,20-三苯基卟啉锌(Ⅱ)Zn(I)(p-CPTPP)5-(4-(4-甲基-2,2′-联吡啶-4′-甲酰氨基)苯基)-10,15,20-三苯基卟啉(H2TPP-NHCO-BpyCH3)5-(4-(4-羧基-2,2′-联吡啶-4′-甲酰氨基)苯基)-10,15,20-三苯基卟啉(H2TPP-NHCO-BpyCOOH)本诗是来自于笔者axc杭州pg电子娱乐游戏app
。2022.02.11