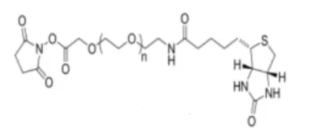
NHS-SS-PEG2000-生物素 活性酯双硫键聚乙二醇生物素 NHS-SS-PEG-Biotin
物料名:NHS-SS-PEG2000-生物制品素几丁质酶酯双硫键聚乙二醇怪物素
英文名:
中文名:
活性酯二硫键聚乙二醇生物素



pg电子娱乐游戏app
微信公众号
官方微信