
设备名:DMG-PEG2000磷脂聚乙二醇
英文名:
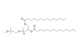
DMG-PEGDMG-PEG2K中文版名:二肉白芷酰-sn-甘油PEGPEG二肉豆蔻年华酰-sn-甘油构成式:

彩盒:小瓶种植地:陕西供给商:昆明pg电子娱乐游戏app
怪物现代科技有限的子公司有关的新产品:PLGA10000-PEG 2000 PLGA:50:50聚乳酸羟基乙酸共聚物功能表化聚乙二醇PLGA10K-PEG2KPLGA-PEGPLGA20000-PEG 2000 PLGA:50:50聚乳酸羟基乙酸共聚物作用化聚乙二醇PLGA20K-PEG2KPLGA-PEG温情信息提示:本公司的所展示的商品仅用来研发工作,不得用来人的身体!