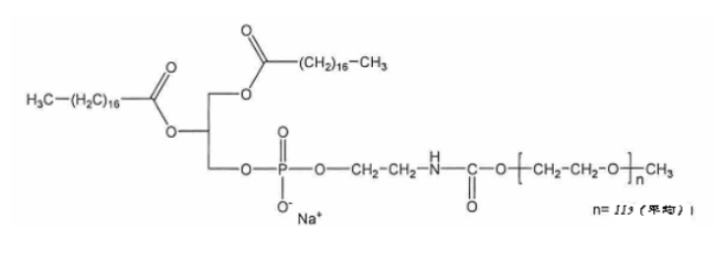
DSPE-PEG5K 磷脂聚乙二醇 DSPE-PEG2K
好产商品名稱称:DSPE-PEG5K磷脂聚乙二醇
英文名称:
中文名称:
聚乙二醇磷脂



pg电子娱乐游戏app
微信公众号
官方微信