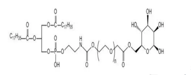
DSPE-PEG-Mannose 甘露糖修饰聚乙二醇PE磷脂 Mannose-PEG-DSPE
对脂质体面行聚乙二醇表达后,得见长再循坏脂质体可不可以不断增加脂质体的半衰期和增进它在血夜再循坏中的比较稳界定、改进脂质体的怪物学遍布,并含有靶向治疗性。DSPE-PEG-MANNOSE 长再循坏脂质体为质粒含有减缓调整抗体力等帮助
繁体中文品牌:
甘霖糖掩盖聚乙二醇PE磷脂 磷脂-聚乙二醇-甘霖糖
英文字母各称:DSPE-PEG-Mannose MW:2000 DSPE-PEG-Mannose
学名:Mannose-PEG-DSPE
型式式:

再生: 成瓶
產地:渭南
贷款用途:仅用以科学课理论研究,非社区医疗目地,非药用价值,非可食用
和谐提醒:仅在教育科研,不是在人体细胞!
有关车辆:
缬草酸-聚乙二醇-半乳糖
VA-mannose
缬草酸-聚乙二醇-珠露糖
VA-Glucose
缬草酸-聚乙二醇-夏黑葡萄糖注射液
VA-Lactosyl
缬草酸-聚乙二醇-乳糖基
VA-Xanthan
缬草酸-聚乙二醇-黄原胶


pg电子娱乐游戏app
微信公众号
官方微信