英文名称:4-Arm PEG-OH
中文名称:四臂-聚乙二醇-羟基
分子量:1k,2k,3.4k,5k,10k,20k(可按需定制)
质量控制:95%+
存储条件:-20°C,避光,避湿
用 途:仅供科研实验使用,不用于诊治
外 观:粘稠液体或者固体粉末,取决于分子量
注意事项:取用一定要干燥,避免频繁的溶解和冻干
溶解性:溶于大部分有机溶剂,如:DCM、DMF、DMSO、THF等等。在水中有很好的溶解性
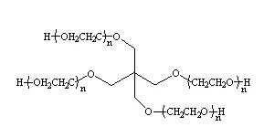
结构式:

上海pg电子娱乐游戏app
动物科学技术有限制的子公司销售的车辆品种有有:材质药、调节剂、大自然化合物、COF、MOF配位聚合物系例:三蝶烯衍动物、金刚烷衍动物、四苯甲烷气体衍动物、多胺系例、多醛系例、联吡啶衍动物、卟啉衍动物、苯乙炔衍动物等;调节剂&染剂;材质药及中间的体;OLED光电科技材质配位聚合物系例:共轭苯衍动物、咔唑、噻吩、苯并呋喃和苝/萘酐衍动物等;聚酰亚胺系例:聚酰亚胺、二胺和二酐;有机化学硅系例:配位聚合物、有还原故宫场景剂、呵护剂和偶联剂等;可光配位聚合液晶显示小团伙等。相应的產品:Maleimide-PEG-NHS Ester二硬脂酰基磷脂酰工业乙醇胺-聚乙二醇-氨基磺酸基CY5-化学活化酯HA-SH4 arm-PEG5000-EpoxidesALK-PEG-SH聚乙二醇-多粘菌素E磷脂-聚乙二醇-环肽cRGD磷脂PEG甘霖糖 聚乳酸羟基乙酸共聚物-聚乙二醇 聚乳酸羟基乙酸共聚物遮盖叶酸片pc-聚乙二醇-靶点穿膜肽R8磷脂PEG珠露糖二油酰磷脂酰无水乙醇胺磷脂PEG珠露糖(2,3-二油氧基丙基)三级甲等医院基氯化铵