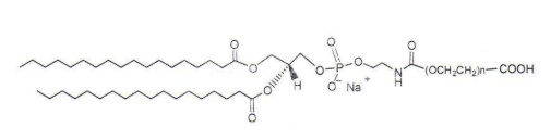
CAS:1403744-37-5,DSPE-PEG-COOH,MW:1000,二硬脂酰基磷脂酰乙醇胺-聚乙二醇-羧基
1、名字繁体中文:磷脂-聚乙二醇-羧基(MW:3400)英文翻译:DSPE-PEG-COOHCAS:1403744-37-52、特性DSPE-PEG-COOH原子量:3.4k,各种原子量是可以个人定制(5k、2k、1k等)。效果操控在95%+。机械的性质:液态或硫酸铜溶液依赖于于分子式量。混溶正常硫酸铜溶液及一般数有机肥料萃取剂。随意调节标准:需要-20°速冻。闭光、干躁储存。应用:适用于专业研究分析方案、类药保持、奈米系统和新食材研究分析方案、神经细胞致力于。暖心显示:为了能够到达采用功能,原料应一直以来都保护在干躁的低温制冷的效果条件下。预防频密快速解冻和解封。



pg电子娱乐游戏app
微信公众号
官方微信