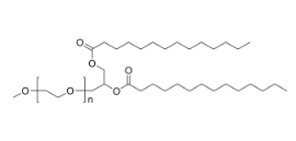
CAS:160743-62-4 DMG-PEG2000 二肉豆蔻酰-sn-甘油聚乙二醇 DMG-PEG2K
护肤商品名字大全称:DMG-PEG2000二肉白芷酰-sn-甘油聚乙二醇
英文名称:
中文名称:
性状
SolidFormula
(C2H4O)nC32H62O5CAS 号
160743-62-4形式式:


pg电子娱乐游戏app
微信公众号
官方微信