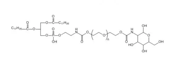
DSPE-PEG2k-Glucose 磷脂-聚乙二醇-葡萄糖 DSPE-PEG-Glucose
產商品标题称:DSPE-PEG2k-Glucose磷脂-聚乙二醇-巨峰葡萄糖粉
英文名称:
DSPE-PEG-Glucose
磷脂PEG葡萄糖



pg电子娱乐游戏app
微信公众号
官方微信