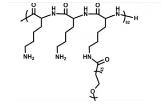
PLL(20)-g[3.5]-PEG(2) 聚赖氨酸纵向偶联聚乙二醇
日语称呼:PLL(20)-g[3.5]-PEG(2)聚赖氨酸横纵向偶联聚乙二醇
基本信息:
CAS N/A
溶解度 溶解于水,DMSO等溶剂
架构式:
![PLL(20)-g[3.5]-PEG(2) 聚赖氨酸纵向偶联聚乙二醇-UDP糖丨MOF丨金属有机框架丨聚集诱导发光丨荧光标记推荐西安pg电子娱乐游戏app
生物](/images/logo.png)

pg电子娱乐游戏app
微信公众号
官方微信