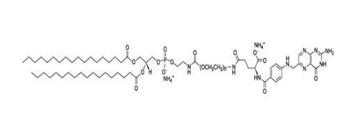
DSPE-PEG-FA DSPE-PEG2000-FA 叶酸PEG2000磷脂
几乎新信息:DSPE-PEG2000-FADHAPEG2000磷脂
结构式:



pg电子娱乐游戏app
微信公众号
官方微信