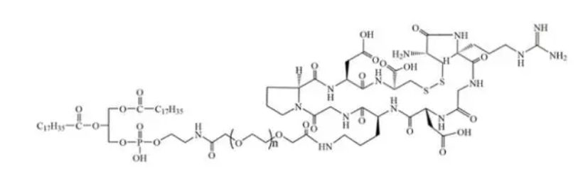
DSPE-PEG2000-iRGD 磷脂聚乙二醇穿膜肽
常规讯息:DSPE-PEG2000-iRGD磷脂聚乙二醇穿膜肽iRGD多肽不是种通常的**活跃靶点药物性多肽,也可以于胶束、囊泡的唯一被动靶点药物,活跃靶点药物探析。磷脂-聚乙二醇-iRGD型成的脂质体也可以直观反应于**靶点,型成活跃靶点药物性使用效果。
结构式:



pg电子娱乐游戏app
微信公众号
官方微信