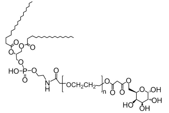
DSPE-PEG2000-半乳糖 磷脂聚乙二醇半乳糖 DSPE-PEG-galactose
【护肤品反映】对脂质表皮面行聚乙二醇遮盖后,得到了长无限循环法脂质体也可以延缓脂质体的半衰期和不断提高它在动脉血无限循环法中的安全稳界定、修改脂质体的生物体学数据分布,并拥有靶向药物性。

英文名称:
中文名称:
包装:瓶装


pg电子娱乐游戏app
微信公众号
官方微信