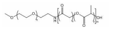
mPEG2k-PLGA50K PLGA50:50 甲氧基聚乙二醇聚乳酸-羟基乙酸共聚物 mPEG-PLGA
日语名称大全:mPEG2k-PLGA50K PLGA50:50mPEG-PLGA
中文名称:



pg电子娱乐游戏app
微信公众号
官方微信