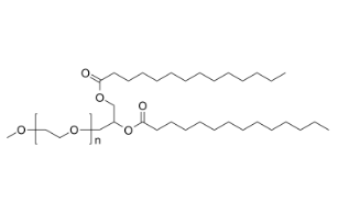
CAS:160743-62-4 DMG-PEG MW:2000 磷脂-聚乙二醇2000 DMG-PEG2000
日语标题:
DMG-PEG2000
繁体中文公司名称:磷脂-聚乙二醇2000别名:DMG-PEG MW:2000 磷脂聚乙二醇2K
CAS:160743-62-4通常图片信息:DMG-PEG 2000 应用在 siRNA 转染 (siRNA delivery) 的脂质体的制作,也能升高转染吸收率。DMG-PEG 2000 也可被应用在脂质微米顆粒制作,应用在服食质粒 DNA 的体中传输有效途径,DMG-PEG 2000 会升高微米顆粒的分必物加入性和传输吸收率。组成部分式:


pg电子娱乐游戏app
微信公众号
官方微信