DOPE-PEG DOPE-PEG2000 二油酰基磷脂酰乙醇胺聚乙二醇
的产商品名称大全称:
DOPE-PEG2000 二油酰基磷脂酰乙醇胺聚乙二醇
英文名称:DOPE-PEG2K DOPE-PEG
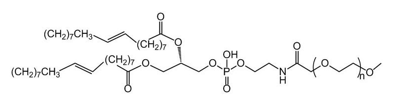
中文版英文名称:磷脂聚乙二醇【护肤品介绍】1,2-Dioleoyl-sn-Glycero-3-Phosphoethanolamine (DOPE)共轭聚乙二醇是磷脂和聚乙二醇结合起来兼有亲水聚氨酯和疏水聚氨酯。聚乙二醇磷脂脂质形体成用料,用于于中成药输料、什么是基因转染和肺炎疫苗表达。聚乙二醇化磷脂能**调节血夜配置时和平衡装封中成药。许多用料还用于于靶向治疗给药借助修正与总体目标漆层配体如表面抗原、多肽。空间化学结构式:


pg电子娱乐游戏app
微信公众号
官方微信