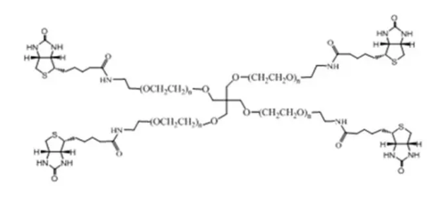
4 arm-PEG-BIOTIN 四臂-聚乙二醇-生物素 4 arm-PEG2000-BIOTIN
服务简称:
4 arm-PEG2000-BIOTIN 四臂-聚乙二醇-生物素
英文名称:4 arm-PEG-BIOTIN 4 arm-PEG2K-BIOTIN
2英文分类:四臂PEG生物学素,多臂PEG发展物学高质量的控制:95%+数据库能力:-20°C,阴凉,避湿外 观:黏稠液體还是物质纳米银溶液,决定于团伙量格局式:


pg电子娱乐游戏app
微信公众号
官方微信