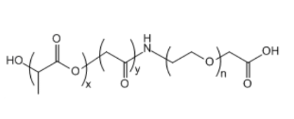
PLGA-PEG-COOH 聚乳酸羟基乙酸共聚物-聚乙二醇-羧基 Acid-PEG3400-PLGA
中文字幕公司名称:聚(乳酸-共-无水乙醇酸)(40K)-聚乙二醇-羧基英文音标分类:PLGA(40K)-PEG-COOH物品纯净度:≥95%贮存策略:-5°C下类保留,低温干燥,闭光团伙量:正规团伙量或个性的情形:黄白色粉状或浓稠药液,衡量于团伙量尺寸溶解完性:溶解大一部分有机质溶液,溶解水注意力细节:在潮湿的环镜中运用,尽量不要頻繁的溶水和冻干



pg电子娱乐游戏app
微信公众号
官方微信