Lipoic acid-PEG-NHS 硫辛酸-聚乙二醇-活性酯 Lipoic acid-PEG550-NHS
好产产品名号称:
Lipoic acid-PEG550-NHS 硫辛酸-聚乙二醇-活性酯
英文名称:Lipoic acid-PEG-NHS Lipoic acid-PEG2K-NHS
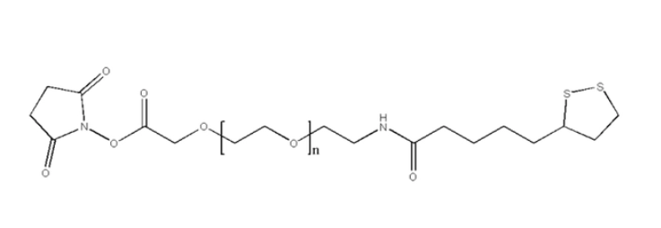
2英文称谓:硫艰辛聚乙二醇抗逆性酯產品叙说:硫艰辛PEG可溶性酶酯(LA-PEG-NHS)可以用到淡化核苷酸质、多肽及别的可溶性酶基团用料和小氧分子。可溶性酶酯(-NHS)能与氨基(-NH2)作用的PEG衍生产品物,在PH7-8.5与伯胺基团作用养成不稳定性的酰胺键。结构设计式:


pg电子娱乐游戏app
微信公众号
官方微信