DSPE-PEG DSPE-PEG5K 磷脂聚乙二醇 DSPE-PEG5000
货产品称谓称:
DSPE-PEG5K
英文名称:DSPE-PEG5000 DSPE-PEG
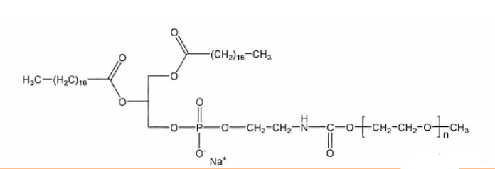
汉语分类:磷脂聚乙二醇分子式量:5719碳原子式:C266H530O122P用于研究方向:脂质体讲述:DSPE-PEG一种磷脂汇聚物偶联物,能用的 于类药传接利用。DSPE-PEG一种广泛适用光催化原理微米平台的建材,广泛适用减少血细胞反复的事件、不断提供稳定可靠性和不断提供装封的效率节构式:


pg电子娱乐游戏app
微信公众号
官方微信