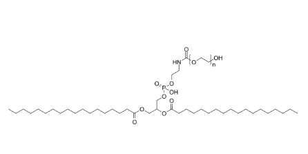
CAS号:892144-24-0 DSPE-PEG2000 磷脂酰乙醇胺-聚乙二醇2000
产品的文章的话:DSPE-PEG有的是种磷脂合成树脂物偶联物,适在类药物交换app。DSPE-PEG有的是种在光催化原理nm媒体的用料,在调长动脉血反复日期、加快动态平衡性和加快封口学习效率產产品名字大全:DSPE-PEG2000 磷脂酰工业乙醇胺-聚乙二醇2000因为称呼:DSPE-PEG 2000
中文名称:二硬脂酰基磷脂酰乙醇胺甲氧基聚乙二醇
CAS号:892144-24-0分子式 (C2H4O)nC42H82NO10P
结构设计式:


pg电子娱乐游戏app
微信公众号
官方微信