mPEG2k-PLGA50K PLGA50:50 甲氧基聚乙二醇聚乳酸-羟基乙酸共聚物
类产商品编码称:
mPEG2k-PLGA50K PLGA50:50 甲氧基聚乙二醇聚乳酸-羟基乙酸共聚物
英文名称:mPEG-PLGA PLGA-PEG
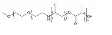
繁体中文品牌:聚乙二醇聚乳酸-羟基乙酸共聚物色度:≥97%运用:现配使用内存因素:-20°冰冻存为,惰性乙炔气维护设备构造式:


pg电子娱乐游戏app
微信公众号
官方微信