DSPE-PEG-MAL 磷脂-聚乙二醇-马来酰亚胺 DSPE-PEG-Maleimide
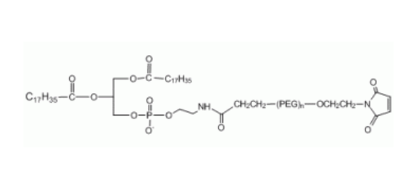
结构类型式:

DSPE-PEG2000-MAL 磷脂聚乙二醇马来酰亚胺
英文名称:DSPE-PEG-MAL DSPE-PEG-Maleimide
中文名字分类:磷脂-聚乙二醇-马来酰亚胺DSPE-PEG(2000)马来酰亚胺使于与激光敏感度细胞核可穿透肽(psCPP)偶联准备納米框架脂质膜蛋白。它也使于非共价官能化被氧化的多壁碳納米管(O-MWCN)。1,2-二硬脂酰-sn-甘油-3-磷酸无水乙醇胺(DSPE)偶联聚乙二醇,DSPE-PEG不是种还具有亲水性树脂聚氨酯和疏水性树脂聚氨酯的磷脂-PEG偶联物。生产基地:兰州内包装:成瓶生产商:成都pg电子娱乐游戏app 生物制品现代科技有限的工厂舒心提示卡:仅适用性于科技创新调查,不宜用以人休!关于软件:NHS-PEG-Folate活力性酯PEG叶酸片DSPE-PEG5K磷脂聚乙二醇DSPE-PEG2000聚乙二醇磷脂DSPE-PEG2K

pg电子娱乐游戏app
微信公众号
官方微信