NHS-SS-PEG-Biotin 活性酯二硫键聚乙二醇生物素 NHS-SS-PEG2K-Biotin
护肤商品编码称:
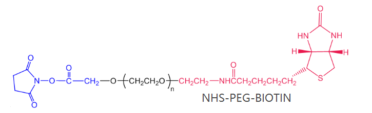
NHS-SS-PEG2000-生物素 活性酯双硫键聚乙二醇生物素
英语怎么说名称大全:NHS-SS-PEG-Biotin NHS-SS-PEG2K-Biotin汉语公司名称:生物技术酯二硫键聚乙二醇生物技术素PDI:1.05max份量:95%+原子量:1K,2K,3.4K,3.5K,4K,5K,10K,20K,40K等(容忍定制化)吸收必要条件:-25±5ºC下惰性其他气体查封,以免减少老是快速解冻好产品框架式:


pg电子娱乐游戏app
微信公众号
官方微信