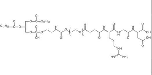
DSPE-PEG-RGD 磷脂-聚乙二醇-多肽 DSPE-PEG2000-RGD
DSPE-PEG-RGD,RGD是由精氨酸(Arg)、甘氨酸(Gly)、天冬氨酸(Asp)3个胺基酸组合成的编码编码序列肽,是近多久来感觉的有着高生态学活力的短肽编码编码序列的一个。RGD肽对于整和素和其配体上下级技能的认别位点,介导肿瘤组织生殖细胞与肿瘤组织生殖细胞外基本材料及肿瘤组织生殖细胞间的黏附技能,同時有着的信号传递技能。聚乙二醇(PEG)偶联的DSPE有着亲水性聚氨酯,快速可用于性药物递送、dna转染和生态学分子式装饰。货商品编码称:
DSPE-PEG2000-RGD 磷脂聚乙二醇多肽
英文名称:DSPE-PEG-RGD DSPE-PEG2000-RGD
中文版英文名称:磷脂-聚乙二醇-多肽使用用途:用来临床医学探讨,制剂增加,納米能力和新产品探讨。溶解度:≥97%提取:现配使用贮存條件:-20°急冻留存,惰性实验室气体保護的产品架构式:


pg电子娱乐游戏app
微信公众号
官方微信