DSPE-SS-mPEG 磷脂双硫键聚乙二醇 DSPE-S-S-mPEG
类产产品品牌称:
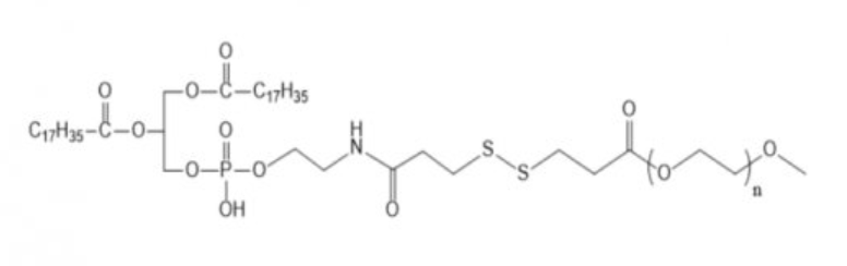
DSPE-SS-mPEG2000磷脂双硫键甲氧基聚乙二醇
英文名称:DSPE-SS-mPEGDSPE-S-S-mPEG
简体中文明称:磷脂双硫键聚乙二醇【特性】白的/类白的至淡淡的黄色色半固态或固态(铜网外观衡量于原子量)【留存】潮湿;-20℃存储【溶解完性】凉开水或CH3Cl【设备描写】聚乙二醇化的磷脂是长反复的脂质构成备的通用建材,我们的在磷脂和聚乙二醇期间用双硫键图片链接,当二硫键S-S遭遇到完美重现型成分二硫苏糖醇(DTT)时便捷断键,高速度减少用药。货品设计式:


pg电子娱乐游戏app
微信公众号
官方微信