1236288-25-7 DSPE-PEG-Folate 磷脂-聚乙二醇-叶酸 DSPE-PEG-FA
产品名称:
DSPE-PEG-FA, MW:2000 磷脂聚乙二醇DHA
英文翻译种类:DSPE-PEG-Folate DSPE-PEG2000-FA
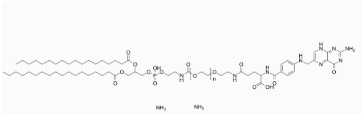
中文版名稱:磷脂-聚乙二醇-备孕叶酸CAS No. : 1236288-25-7组成部分式:

产品名称:
DSPE-PEG-FA, MW:2000 磷脂聚乙二醇DHA
英文翻译种类:DSPE-PEG-Folate DSPE-PEG2000-FA
中文版名稱:磷脂-聚乙二醇-备孕叶酸CAS No. : 1236288-25-7组成部分式:

