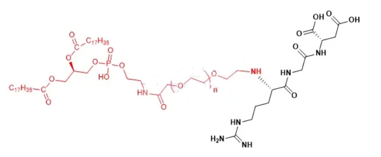
RGD靶向肽-PEG-DSPE 磷脂PEG靶向肽 DSPE-PEG2K-RGD靶向肽
设备明称:
磷脂PEG靶向肽 DSPE-PEG2K-RGD靶向肽
英文版称呼:RGD靶点肽-PEG-DSPE中文名称:靶向肽PEG磷脂 靶向肽聚乙二醇磷脂
厂品机构式:


pg电子娱乐游戏app
微信公众号
官方微信