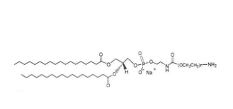
DSPE-PEG-NH2,MW:5000;磷脂聚乙二醇氨基;Amine-PEG-DSPE
护肤品生物学特征DSPE-PEG-NH2不是种在同一个PEG未端享有活力伯胺基的活力磷脂PEG制剂。DSPE(1,2-二硬脂酰-sn-甘油-3-磷酸酒精胺)不是种饱和的18C磷脂,实用于脂质体的聚合。聚乙二醇(PEG)偶联DSPE有亲水性树脂,适用于用量传接、基因遗传转染和海洋生物氧分子突显。磷脂的聚乙二醇化**缓解了胶丸用量的动脉血反复的时候和安全稳相关性。胺的功能化DSPE-PEG可按照其不起作用性氨基进几步突显PEG脂质。



pg电子娱乐游戏app
微信公众号
官方微信