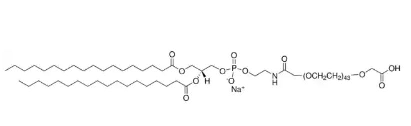
PEG-DSPE 磷脂PEG DSPE-PEG2K 聚乙二醇磷脂
软件就说明:聚乙二醇(PEG)偶联DSPE具备有亲水溶性,需用于用药传达着、基因遗传转染和海洋生物氧分子式遮盖。磷脂的聚乙二醇化**持续改善了口服胶囊用药的血浆循环法用时和维持性。聚乙二醇能开展溶解出来性和维持性,减小感应起电氧分子式外表面非特女性朋友依照,减小多肽的抗体原性。食商品编码称:
磷脂PEG DSPE-PEG2K
因为称呼:PEG-DSPE中文名称:PEG磷脂 聚乙二醇磷脂
护肤品结构的式:


pg电子娱乐游戏app
微信公众号
官方微信