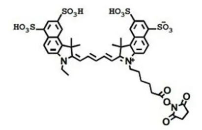
水溶Sulfo-Cyanine5.5 NHS ester;2419286-92-1;磺酸基CY5-活性酯
1.CAS号:2419286-92-1
2.分子式:C45H47N3O16S4
3.分子量:1014.13
4.包装规格:10mg,25mg,50mg,有100mg包装也有500mg 1克和5克大包装等一系列的
5.溶解条件:溶于大部分有机溶剂,如:DCM、DMF、DMSO、THF等等,在水中有很好的溶解性
6.相对稳定量分析:-20°C下3年,干澡,闭光。

产品设备介绍:磺基氰5.5 NHS酯是磺化近红外氰5.5荧光团的某种胺反响亲水性树脂酯,是Cy5.5的这样物。这就是使用于标上免疫抗体、过敏蛋白酶和别的必须 在纯水性树脂情况中反响或不必须 其余调用设计共容剂的制剂的选泽。相应的好产品:CY5-HACAS:4235-95-4 二硬脂酰基磷脂酰甲醇胺-聚乙二醇2000氨基呈现聚苯丁二烯微球二硬脂酰基磷脂酰酒精胺-聚乙二醇-白色质酸乳白色质酸掩盖二油酰基磷脂酰工业乙醇胺DSPE-PEG-valine水溶Sulfo-Cyanine5.5 NHS esterSH-PEG-COOH,MW:5000 CY5菁染色剂一人水溶Sulfo-Cyanine5.5 NHS esterMitoxantrone Hydrochloride