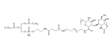
DSPE-PEG-HA,MW:2000;磷脂-聚乙二醇-透明质酸;DSPE-PEG-Hyaluronicacid
中文翻译分类:磷脂-聚乙二醇-无色质酸日文标题:DSPE-PEG-HA原子量:PEG原子量能选:1000、2000、3400、5000、10000等可个性定制特性:气体纳米银溶液,考量于团伙量应用场景:成果转化饱和度:95%降解度:降解于部件可挥发制剂存放条件:-20℃



pg电子娱乐游戏app
微信公众号
官方微信